RbiSearchHeader

Press escape key to go back

Past Searches

Page
Official Website of Reserve Bank of India

RbiAnnouncementWeb

RBI Announcements
RBI Announcements

Asset Publisher

133832157

Review of Monetary Policy Framework - A Discussion Paper


Preface

In May 2016, the Reserve Bank of India Act, 1934 was amended to provide a statutory basis for the implementation of the flexible inflation targeting (FIT) framework in India. The preamble to the amended Act gives a clear mandate to the Reserve Bank to “maintain price stability, while keeping in mind the objective of growth”. The Act mandated the Reserve Bank to maintain a consumer price index (CPI) inflation target of 4.0 per cent with the Government notifying a tolerance band of +/- 2 per cent around it.

As per Section 45ZA of the RBI Act, 1934, the Central Government shall, in consultation with the Bank, determine the inflation target in terms of the CPI, once in every five years. The Central Government initially notified the inflation target with the tolerance band on August 5, 2016, for the period 2016-2021. In the first review conducted in March 2021, this target was retained for the subsequent five years till March 2026, as per the Government of India (GoI) Gazette notification dated March 31, 2021. A second review of the target is now due by end March 2026.

Many central banks that have undertaken reviews of their monetary policy/implementation framework in recent times have gone for public consultations – Australia (2023), Canada (2021), Federal Reserve (2020 and 2025, ongoing), Israel (2024), Russia (2023) and South Africa (2022). In line with this global practice, the Reserve Bank intends to release this Discussion Paper that will form the basis of this second review.

This Discussion Paper undertakes a review of the nature and format of the extant inflation target, against the backdrop of the last nine years of India’s experience including the challenges faced during the pandemic and the post-pandemic era coupled with experience of inflation targeting advanced economies and emerging market and developing economies. It is proposed to upload this Discussion Paper on the RBI website for public feedback and comments on the questions for discussion.

The Discussion Paper poses the following questions for feedback:

1. Whether headline inflation or core inflation would best guide the conduct of monetary policy, given evolving relative dynamics of food and core inflation and the continuing high weight of food in the CPI basket?

2. Whether the 4 per cent inflation target continues to remain optimal for balancing growth with stability in a fast growing, large emerging economy like India?

3. Should the tolerance band around the target be revised in any way including whether the tolerance band be narrowed or widened or fully done away with?

4. Should the target inflation level be removed, and only a range be maintained within the overall ambit of maintaining flexibility without undermining credibility?

In the years ahead, the conduct of inflation targeting as a monetary policy framework may face even greater challenges due to emerging geo-economic uncertainties, volatility of commodity prices, climate change and innovations in payment systems that can change the nature of policy trade-offs. Against this backdrop, this review gives us an opportunity to revisit some of the basic tenets of the framework to nudge the economy towards further improved macroeconomic outcomes in the best interest of all stakeholders.

As we undertake this review, we intend to hear from all stake holders and collate a pool of ideas before deciding on the final recommendations. This Discussion Paper intends to begin this process. The submissions need not be on all issues that are listed and can focus only on the areas of interest. All comments/feedback on the issues for discussion may be sent by email by September 18, 2025.


Review of Monetary Policy Framework

A Discussion Paper

I. Introduction and Backdrop

Inflation targeting (IT) turns 35 this year. With New Zealand being the first country to implement IT in 1990, it has become the most widely adopted monetary policy framework globally. Despite practices preceding the formal theoretical structure, IT has steadily proliferated as a policy framework, gaining credibility and acceptance among central banks in both advanced economies (AEs) and emerging market and developing economies (EMDEs). It has survived both national and global challenges such as global financial crisis of 2008-09 and the “once in a lifetime” COVID-19 pandemic. Globally, 48 countries, comprising of 14 AEs and 34 EMDEs, have IT as their monetary policy framework.1

2. Cross country experience reveals that majority of AEs have a point target (8 out of 14) while majority of EMDEs (23 out of 34) have point target with a tolerance band (Table 1). Range targeting is prevalent in a few AEs and EMDEs. Headline inflation remains the target metric in both AEs and EMDEs (Annex 1).

3. No major country that has adopted IT has ever abandoned it. Instead, the framework has been refined from time to time in line with the evolving domestic economic structures and the global landscape. These revisions have been part of the framework reviews undertaken by central banks. Conducted after due diligence, these revisions have generally tried to determine the right balance between the ‘rule’ and the ‘discretion’2. The adaptability of the IT framework to evolving complexities through adjustments via framework reviews has enhanced its shelf life and acceptability.

4. In India, the monetary policy framework has continuously evolved in line with the theoretical developments, country practices, and the changing nature of the economy and developments in financial markets.3 Considerable debate occurred in the post global financial crisis period on the need to evolve the existing monetary policy framework due to the coexistence of persistent high inflation and sluggish growth. Subsequently, an Expert Committee was set up by the Reserve Bank of India (RBI) in 2013 to strengthen the existing monetary policy framework. The Committee4 recommended moving to an inflation targeting framework with inflation being the nominal anchor for monetary policy. The anchor or target was to be set at 4 per cent with a band of +/- 2 per cent around it. The target had to be achieved over a two-year horizon to balance the output costs of disinflation against the credibility in policy commitment (RBI, 2014).

5. Following a Monetary Policy Framework Agreement with the Government of India in 2015, India formally adopted the inflation targeting framework in 2016 by amending the RBI Act, 1934. The preamble to the amended Act defined the primary objective of the monetary policy as “to maintain price stability while keeping in mind the objective of growth” The Act mandated the Reserve Bank to maintain a Consumer Price Index (CPI) inflation target of 4.0 per cent with the Government notifying a tolerance band of +/- 2 per cent around it on August 5, 2016 for the period 2016-2021. These features of the monetary policy framework coupled with the accountability criteria that defined failure as three consecutive quarters of deviation of inflation from the tolerance band, came to be characterised as flexible inflation targeting (FIT) (RBI, 2021). Section 45ZB of the RBI Act provides for the constitution of a six-member Monetary Policy Committee (MPC) to determine the policy rate required to achieve the inflation target. Thus, India adopted the FIT framework and joined the large and growing list of inflation targeters.

6. Under Section 45ZA, the Central Government, in consultation with the RBI, determines the inflation target in terms of CPI, once in five years and notifies it in the Official Gazette. Thus, according to the Act, the review requires revisiting the inflation target every five years. On the eve of the mandated first five-yearly review of the inflation target in March 2021, the Reserve Bank published the Report on Currency and Finance 2020-21 with the theme, “Reviewing the Monetary Policy Framework”. The Report reviewed various aspects of the FIT regime in India during the first five years, i.e., 2016-2021.5 Subsequently, the Government, in consultation with the RBI retained the target at 4 per cent with a tolerance band of +/- 2 per cent for the subsequent five years, i.e., April 1, 2021 to March 31, 2026, by notifying in the Gazette on March 31, 2021.

7. Against the backdrop of the next review of target to be effective from April 01, 2026, and the significant changes in the global and domestic economic environment, the RBI has undertaken a review of the nature and format of the inflation target. In doing so, the global practice of issuing a Discussion Paper (DP) has been followed for wider public consultations and feedback. This DP brings forth pertinent issues related to inflation targeting in India to seek wider discourse and engagement on the key features of FIT. First, whether headline inflation or core inflation would best guide the conduct of monetary policy, given evolving relative dynamics of food and core inflation? Second, whether the 4 per cent inflation target continues to remain optimal for balancing growth with stability in a fast growing, large emerging economy like India? Third, should the tolerance band around the target be revised in any way including whether the tolerance band be narrowed or widened or fully done away with? And fourth, should the target inflation level be removed, and only a range be maintained within the overall ambit of maintaining flexibility without undermining credibility?

8. The next section provides a brief overview of the operation and performance of the inflation targeting framework in India including that of MPC. The subsequent two sections (Section III and Section IV) of the DP focus on the four major aspects, mentioned above, pertaining to inflation target review. Section V provides the concluding observations and questions for discussion requesting feedback are set out in the final section.

II. Inflation Targeting Regime in India: A Brief Overview

9. A reflection on the FIT framework since its inception in 2016 indicate that it has served India well over the last nine years including the challenging period since the pandemic (Malhotra, 2025; Das, 2024a). The inflation levels have seen a distinct decline with the average since adoption of FIT at 4.9 per cent vis-à-vis an average of 6.8 per cent over the pre-FIT period in the current series. The glide path given by the Expert Committee in 2014 to move from double digit inflation to the 4 per cent target was overachieved during the transition stages of FIT with actual inflation outcome being lower than the glide path suggested by the Expert committee (Chart 1). As FIT set in since October 2016, the average inflation hovered around 4 per cent target from 2016-2019. With the outbreak of the pandemic and associated supply chain disruptions, inflation breached the upper tolerance band in few quarters during 2020-21 and 2021-22.

Chart 1: Nine Years of FIT

10. Following the Russia-Ukraine conflict, inflation again veered away from its target under the impact of a broad-based spike in global commodity prices, the resurgence of supply chain and logistics bottlenecks and sanctions, coupled with second-round effects of repeated supply side shocks. As a result, all three components of inflation – food, fuel and core – went above the target for the first time (Chart 2). Inflation reached 7.8 per cent in April 2022, its peak for the FIT period. For consecutive 5 quarters from Q4 2021-22 to Q4 2022-23, inflation remained above the upper threshold of 6 per cent around the target. Accordingly, in terms of the accountability norms mandated by legislation – Section 45ZN of the RBI Act, 1934 and Regulation 7 of RBI MPC and Monetary Policy Process Regulations, 2016 – a meeting of the MPC was held on November 3, 2022, and a report was sent to the Central Government by the Reserve Bank.

Chart 2: CPI Inflation by components in the FIT Regime

11. From the pandemic and war induced peak in inflation during 2022-23, inflation has receded progressively supported by targeted supply-side interventions by the Government which helped control food price volatility; anti-inflationary monetary policy which prevented the generalisation of price pressures; and fall in international commodity prices. On the whole, assessing the inflation performance over the nine years of FIT enunciate a hump-shaped performance with first three years and last three years remaining aligned to the target. The middle three years showed an incline towards the upper tolerance band confronted with a once-in-a-century pandemic followed by the Russia-Ukraine conflict that drove up inflation trend world-wide during this period (see Chart 1 in previous page).

12. Along with the adoption of FIT in 2016, there was another institutional change - a shift from a Governor centric monetary policy to a collegial approach of decision making with the setting up of the monetary policy committee (MPC).6 The MPC of the Reserve Bank was constituted for the first time on September 29, 2016 with six members – three internal and external members each. This has been followed by two other MPCs (with new external members) so far. The MPC is entrusted to decide the policy rate required to achieve the inflation target, while taking into account the domestic growth-inflation dynamics. As per the Preamble to the Reserve Bank of India Act 1934 “…the primary objective of monetary policy is to maintain price stability while keeping in mind the objective of growth”. The band of +/-2 per cent gives adequate flexibility to the MPC to focus on inflation or growth depending on the evolving situation. During the pandemic, high prints of inflation were ignored as the focus was on reviving economic activity (Das, 2023). Similarly, after the Russia-Ukraine conflict, when inflation rose globally the focus shifted to inflation. Thus, MPC in India has been consistent to the mandate in letter and spirit leveraging on the flexibility provided by the Act – price stability gets primacy in normal times, but growth was given precedence during the COVID-19 pandemic. This is observed both through qualitative data analysis (Annex 2) and quantitative evaluation by estimating a Taylor rule7 for the period October 2016 to August 2025 (Taylor, 1993) (Annex 3). Besides, the forecasts used in the MPC resolution does not result in any bias in policy making (Annex 4).

13. While remaining dynamically consistent with its mandate, the committee approach has also brought in the desired diversity of opinion, collective wisdom and transparency into the decision-making process as envisaged. This is evident from the significant differences in the voting pattern on the policy rate and stance across members over time. Over its tenure, the MPC took more split decisions than unanimous calls, the minutes became more detailed, and even when members agreed, their arguments and rationale often differed (RBI, 2021). The lack of unanimity on policy (repo) rate decisions exhibits individual MPC members’ freedom to assign relative importance to inflation and growth objectives while voting. Since its formation, MPC members have casted their votes on multiple rate actions – rate hikes, cut and pause. The MPC has shown maximum dissent while keeping the repo rate unchanged (pause), followed by rate cut of (-) 25 basis points (Chart 3).

Chart 3: Dissent and Voting Rate Decision (2016-2025)

14. On the whole, the FIT framework has been judged to be favourable (IMF, 2025) with reduced inflation outcomes in the FIT period. As has been established by several papers/reports (Rangarajan, 2021; Eichengreen and Gupta, 2024; RBI, 2021), there are significant merits of the extant framework which focuses on price stability and has due flexibility to address growth concerns. The current MPC structure has worked well notwithstanding the testing challenges of the formative years and has delivered on its mandate amidst unprecedented uncertainty. MPC communication through statutory documents - MPC resolution, minutes and the Monetary Policy Report (MPR)8 - and through Governor’s Statement, post policy Press Conference and other interactions shed further light on the rational of the decisions. With respect to transparency and communication, RBI’s monetary policy communication was viewed to have improved with the advent of inflation targeting (Mathur and Sengupta, 2020).

15. Today, the global backdrop remains mixed with countries changing their mandates, some shifting to simpler mandates for monetary policy for better management of trade-offs while others trying to accommodate real variables into the mandate to gain flexibility. In this regard, AEs are factoring in real economy mandates as this flexibility is seen as a smaller threat to credibility of the inflation target vis-a-vis that in EMDEs given their inflation track record (Borio and Chavaz, 2025). India’s experience with FIT so far reflects the provision of due flexibility and its due usage during shocks to get the best possible macroeconomic outcomes. With this background of FIT experience, the next two sections will dwell with the core issues surrounding the choice of inflation target.

III. Target Benchmark – Headline or Core

16. The debate on what should be the monetary policy target benchmark - headline inflation or core inflation (which excludes the volatile components of inflation such as food and fuel from headline) is premised on the issue of inclusivity vs stability. Headline inflation is favoured worldwide as a more representative measure of the overall price conditions. With high share of food in the consumption basket, food inflation pressures cannot be ignored in India as “persistently high food inflation and unanchored inflation expectations – if they materialise – could lead to spillovers to core inflation through pick-up in wages on cost-of-living considerations'; (Das, 2024c). The counter argument to exclude food and other volatile items from the inflation target is that the higher volatility in headline inflation induced by food and energy price shocks can pose challenges for the conduct of monetary policy.

Literature and International Experience

17. Monetary policy endeavours to strike the right balance between both inflation and growth to maximise economic welfare. In this context, selecting an appropriate measure of inflation - headline CPI or core - for the effective conduct of monetary policy remains crucial. It is argued that as food and fuel inflation are volatile due to supply shocks, and do not react to monetary policy, they should not form part of the target measure. The counter argument is that excluding some part of the consumption basket from the target measure may lead to policy biases and undermine policy credibility. This issue is more contentious where food and fuel constitutes a large share of the CPI basket as is the case for India.

18. According to Mishkin (2007), this debate on headline CPI vs core measure is “not an ‘either - or’ decision; while central banks should emphasise headline inflation when determining the appropriate stance of monetary policy over the medium run, they can be guided by core inflation for policy decisions, which can help prevent from responding too strongly to transitory movements in inflation.” Moreover, stabilising core inflation9 leads to better economic outcomes than stabilising headline inflation (Mishkin, 2008). Responding to a core measure of inflation can minimize the distortion caused by dispersion in relative prices and consequent misallocation of resources.

19. According to Anand et al. (2012), the optimality of core inflation targeting, however, can be challenged in the presence of financial frictions. According to them, “In developing economies where a large proportion of households are credit constrained and the share of food expenditures in total consumption expenditures is high, headline inflation targeting improves welfare outcomes. Lack of access to financial markets makes the demand of credit-constrained consumers less sensitive to interest rates, and under such a scenario, targeting overall price index is welfare maximising with desired effect on aggregate demand.” Moreover, with high share of food in the consumption basket, persistently high food inflation can spillover to core and hence food inflation cannot be ignored (Das, 2024c).

20. Cross country experience suggests that almost all IT countries have chosen headline CPI as the target, irrespective of their inflation target level and stage of development (Chart 4 and details in Annex 1). Currently, Uganda is the only country that targets core inflation.10,11

Chart 4: Level of Inflation Target, Range and Measures of all Inflation Targeting Central Banks

Indian Experience

21. In India, a fundamental debate on whether to target headline or core inflation has been at the centre of the policy discourse on inflation targeting. The Expert Committee Report (RBI, 2014) had recommended headline inflation as the target for the following reasons: (i) food and fuel constitute above 50 per cent of the consumption basket, hence the inflation based on less than half the basket would not be representative; (ii) food and fuel inflation can be persistent and influence inflation expectations, posing risk of spillover to other items. Therefore, any attempt to anchor inflation expectations should not ignore shocks to food and fuel and (iii) households use headline CPI to deflate nominal returns while choosing their portfolio of financial assets vis-à-vis physical assets. Therefore, exclusion of food and fuel may not yield ‘true’ measure of inflation for conducting monetary policy. Headline inflation being the closest proxy of the cost of living may be more appropriate.

22. This debate has continued even after the formal adoption of inflation targeting framework in India. On one hand, it is argued that food inflation is pre-dominantly supply driven and is not under the direct purview of monetary policy which works through short-term demand management. Therefore, policy should be guided by core inflation (Government of India, 2024). Food component should be removed from India’s inflation target as the food weight in CPI does not reflect the structural changes in the economy, movement in food inflation is unrelated to changes in policy or demand, and higher-than-necessary real interest rate caused by higher food inflation costs the economy (Sharma, 2024). Volatile elements of food being ‘beyond its control’, RBI should consider looking at core inflation, re-defined with inclusion of non-volatile food items, for monetary policy decisions (Virmani, 2024).

23. The argument for targeting headline inflation, on the other hand, emphasises that downplaying the role of food inflation in price stability can erode monetary policy credibility and de-anchor inflation expectations (Lahiri, 2024). Food inflation may also exhibit core inflation properties when it becomes persistent (Patra et al., 2024). As consumptions behaviour shifts with rising income (RBI, 2025a); it can feed through to core inflation as producers’ markup the price of other products (Eichengreen and Gupta 2024) and hence monetary policy should not look through such food price dynamics. Although policy targets are decided based on specific country context, equity and consumer welfare considerations support targeting headline (Goyal, 2022).

24. Eliminating food from the target benchmark would amount to “not having a target; it will make no sense to the average citizen, as it is the headline inflation that the common person understands and should remain that way” (Das, 2024b). Further, it is argued that inflation pertaining to the whole consumption basket of the household should be targeted as it affects consumers’ perception and finally inflationary expectations. For the poor, food expenditure constitutes the major item in the consumption basket. Ignoring it would be tantamount to being oblivious of the cost of living of the poor and its welfare implications. Moreover, while short run supply shocks cannot be controlled by central banks, food inflation persistence may indicate supply constraints relative to demand which, in turn, necessitates central banks to balance by controlling inflation in other sectors. Thus, excluding food prices from headline inflation while setting benchmark interest rates would erode peoples’ faith in the central bank (Rajan, 2024).12

25. There is also the argument that the current CPI base (2011-12) is outdated, and the share of food would decline considerably once the CPI base is revised to a more recent year. However, the continued dominance of food in Indian households’ consumption basket is corroborated by the latest Survey of Household Consumption Expenditure 2023-24.13 It indicates that 90 per cent of the lowest fractile rural households and 50 per cent of the lowest fractile urban households spend more than 50 per cent of their monthly consumption on food and energy.

26. While food inflation often leads to volatility in the headline inflation, core inflation is observed to be relatively stable for India. As a result, there have been episodes of divergence between headline and core inflation (Chart 5a and 5b). When the divergence between food and non-food inflation persists for a long period, it could pose risks of unhinging inflation expectations and generating second round effects, thereby leading to generalisation of inflation. Over a longer horizon, however, there is also co-movement between headline and core inflation.

Chart 5: Food and Core Inflation Dynamics

27. During the pre-FIT period (2012-2016), headline inflation averaged higher at 7.4 per cent compared to core inflation at 6.6 per cent (Table 2). In the first FIT period (October 2016 – March 2021), headline inflation moderated to 4.4 per cent driven by moderation in food inflation, while core inflation moderated by a lesser magnitude to 5.0 per cent. In the subsequent FIT period (April 2021- May 2025), headline inflation exceeded core inflation.

28. An analysis of volatility in headline inflation indicates a gradual moderation since the adoption of FIT. This moderation has been driven by lower core inflation volatility in the first FIT period and lower food inflation volatility in the second FIT period, although food inflation in general remains more volatile than core inflation (Table 2 and Chart 6). The reduction in food inflation volatility along with an increase in its mean in the latest FIT period, in turn, indicated persistence in food inflation. In contrast, the uptick in core inflation volatility in the recent period, reflected input cost pressures from supply chain disruptions following the Russia-Ukraine conflict.

Chart 6: Inflation Volatility

29. Food inflation, if persistent, can spill over to core inflation through higher wage costs, higher rents and higher mark ups. Empirical exercise in the Indian context suggests that non-core prices converge to core prices in the long run. There are also spillovers from non-core inflation to core inflation, possibly through the cost-push and expectation channels, implying that monetary policy cannot ignore second-round effects emanating from persistent supply-side shocks (Annex 5).

30. The speed of convergence between headline and core could vary over time due to the nature of shocks. Evidence suggests that the speed of convergence of headline to core, which was high in the pre-COVID period, slowed down during the pandemic on the back of overlapping shocks, and increased again since 2023. On the other hand, convergence of core to headline declined since 2023 (Annex 6). Overall, headline inflation tends to converge to core inflation in the long run, once the shocks dissipate.

31. From a cross-country perspective also, average food inflation remains higher than the core inflation for several economies during last ten years (2015-2024) (Chart 7). Food inflation is also more volatile than core for most countries. India’s average inflation of food and core is about the same over this period though food inflation is more volatile than core in India too. However, when compared with other IT countries, food inflation in India exhibits less volatility.

Chart 7: Food Inflation vis-a-vis Core Inflation of IT Countries (2015-2024)

32. Food constitutes a high share of India’s consumption basket, highest amongst IT countries (Chart 8) (Annex 7). Although, the latest household consumption survey in India indicates a reduction in the share of food in the household consumption basket, the weight of food in CPI may still remain relatively high compared to its peers14.

Chart 8: Share of Food in CPI and Inflation Target Tolerance Band
 

IV. Target Format

A. Optimality of Inflation Target

33. Price stability objective has been clearly quantified in the RBI Act in line with global practice. The inflation target has remained unchanged at 4 per cent since the inception of FIT in India in 2016. It would be important to revisit the optimality of this target against the backdrop of the underlying inflation dynamics, the FIT experience of past nine years, and the international experience.

Literature and International Experience

34. Ever since the numerical value of price stability was first defined by New Zealand in 1990, countries have defined different optimal inflation levels as their respective targets. Low and stable inflation can ensure price stability, improve allocative efficiency (Woodford, 2003), reduce inflation uncertainty, improve effectiveness of monetary policy (Akerlof et al., 1996; Bernanke, 2011) and thereby support growth and economic welfare (Mishkin, 2008). Setting inflation target above zero or low positive reduces the probability of monetary policy hitting zero lower bound more often, which could impact overall welfare (Coibion et. al, 2012). While zero inflation is considered optimal (Schmitt-Grohé and Uribe 2010), it does not provide any incentive to producers, a moderate level of inflation can ‘grease the wheels’ of the labour market, thereby facilitating real adjustments.

35. Inflation targets have been around 2 per cent in most AEs and in the range of 3-6 per cent in major EMDEs at present (Chart 4). In the case of AEs, 2 per cent is considered low enough to fully reap the benefits of price stability.15 Social welfare is maximised when the steady-state inflation rate, the level to which the inflation rate converges in the long run, is considered to be close to two per cent for both Japan and the US (Mineyama et al., 2019). There is a convergence of views that 1 to 3 per cent inflation corresponds to price stability in AEs, while 4 to 5 per cent inflation would correspond to price stability in EMDEs (RBI, 2014).16

36. Cross country experience shows that most countries have a point target with or without a tolerance band.17 A point target is considered to be most effective in anchoring inflation expectations, as it gives the most clear and coherent signal to society.18

37. Globally, with many AEs confronted with the zero lower bound during the global financial crisis and the pandemic, there was a view in favour of hiking the inflation target (Ambrocio et al. 2021; Blanchard, et al., 2010; Ball, 2014). Nevertheless, no major central banks have increased their target in their framework reviews undertaken in the recent past (Annex 8).19 While the US Fed shifted to average inflation targeting in 2022 (Federal Reserve 2020), the European Central Bank (ECB) changed the target in 2021 from ';below but close to 2 per cent'; to “2 per cent” as a reference point to ensure that the medium-term inflation rate neither exceeded nor remained below this symmetric threshold.20 Some EMDEs have lowered their targets/target ranges overtime leveraging their IT framework credibility and reduction in inflation on account of effective anchoring of inflation expectations viz., Thailand, Brazil and Indonesia (Chart 9).21

Chart 9: Evolution of Inflation Target

Indian Experience

38. While the mandate enshrined in the RBI Act talks of price stability in general, the practical implementation of monetary policy requires the numerical specification of an inflation target, which essentially includes the desired level and the type of target (point or range target or a point target with a tolerance band). In India, the target was set at 4 per cent with a band of +/- 2 per cent around it for the period 2016-21, which was further extended for the period 2021-2026.

39. Analysing the quarterly path of inflation since inception of FIT22 shows that average inflation at 3.9 per cent during the first four years of FIT was very close to the target. It exceeded the target during 2020-2024 (and even went above the upper threshold level of 6.0 per cent), driven by supply disruptions on account of the pandemic, geopolitical conflicts and adverse weather events (Chart 10).

40. Headline inflation breached the upper tolerance level of 6 per cent first during Q4 of 2019-20 and then again during Q2 and Q3 of 2020-21. During these three quarters, it was at 6.7 per cent, 6.9 per cent and 6.4 per cent, respectively. This rise was mainly driven by sharp increase in food inflation due to pandemic induced supply disruptions. Then there was a subsequent breach between Q4:2021-22 and Q4:2022-23. This breach was broad based with surges in all components of headline inflation including fuel and core inflation, reflecting post pandemic economic recovery along with the spikes in global commodity prices following the Russia-Ukraine conflict. This surge in inflation was not unique to India but observed world-wide. Inflation has moderated since then with Q1:2025-26 at slightly below the 4 per cent target.

Chart 10: CPI Inflation during FIT Framework

41. Empirical evidence suggested that in the Indian context, 4 per cent is the desirable rate of inflation at which macroeconomic conditions remain optimal with zero output gap (RBI, 2014). The trend inflation, that represents the underlying inflation, plays a key role in guiding monetary policy in deciding the appropriate level of the inflation target, particularly in IT economies. While shocks to inflation may lead to deviation of actual inflation from its trend, ultimately it converges to the trend inflation path. Trend inflation, however, is not observable and needs to be estimated by removing the shocks (noise) and extracting the signal from the data. A revisit by RBI staff of the trend rate of inflation, the permanent component to which actual inflation converges after every shock, places it close to 4 per cent (Table 3 and Annex 9).

42. Empirical support to the target of 4 per cent is also broadly provided by the Balassa-Samuelson effect that links real exchange rate changes through productivity differentials. With inflation target of 2 per cent for AEs, and estimated productivity differential of about 1.8-1.9 per cent between AEs and EMDEs including that of India, the Balassa-Samuelson effect suggest a desirable inflation of about 4 per cent for price stability (Table 4 and Annex 10). In this context, reducing the target below 4 per cent (as witnessed in some other EMDEs) may not be appropriate in case of India. India being a fast-growing emerging economy faces the possibility of relatively higher services inflation following the Balassa-Samuelson effect (Eichengreen and Gupta, 2024).

Table 4: Balassa Samuelson Effect for India

43. The behaviour of India’s inflation, especially with regard to its persistence and volatility also has implications for the choice of the target level that define the FIT framework. Estimates for India over the full FIT period show that while persistence declined in the first few years of the FIT, there was an uptick since 2020. Inflation persistence as well as the volatility in trend inflation has declined since the first quarter of 2022-23, coinciding with the monetary policy normalisation cycle. Thus, supply shocks to inflation have not led to any significant shift in inflation persistence and volatility in trend inflation. Any unexpected changes in inflation are much more likely to be transitory, indicating a better anchoring of inflation expectations under the FIT period (Annex 11).

44. In line with the global debate in the immediate post-pandemic period, a view was expressed to raise inflation target in India as well. In this regard, based on threshold inflation estimates linked to fiscal and current account deficits, inflation close to 6 per cent rather than 4 per cent was considered optimal for India (Dholakia et al., 2021). The argument was that growth costs of low inflation targeting (4 per cent) may outweigh the benefits of the current inflation target.23 However, raising the target at this stage – when the global economy is confronted with geopolitical uncertainty and geo-economic fragmentation – can be interpreted by global investors as a dilution of the IT framework thereby undermining policy credibility. It could erode the gains in policy and institutional credibility achieved through fiscal responsibility and external stability.

45. There is also an argument to lower the target based on peer EMDEs experience. Emerging market economies like Indonesia, Brazil and Thailand have lowered their inflation target– Indonesia from 6 per cent to 2.5 per cent, Brazil from 8 per cent to 2.5 per cent, while Thailand has narrowed its target range overtime (See Chart 9 earlier). When compared with these economies, our 4 per cent target remains higher. The counter argument, however, could be that relative to these economies, India is a fast-growing catch-up economy with higher services sector inflation justifying a slightly higher target (Eichengreen and Gupta, 2024). Besides, lowering the target when food inflation globally is facing upside risks due to structural factors like climate change, trade fragmentation and supply chain disruptions, may not be perceived to be credible.

46. Overall, there are arguments on both sides as to whether to raise or lower the target of 4 per cent. But justifications for pursuing with the target and the framework stem from the relative success in bringing disinflation as well as flexibility in responding to exogenous shocks. The policy credibility of FIT gained over the last 9 years has reflected in both lower inflation and its volatility compared to the pre-FIT period as well as improvement in anchoring of inflation expectations.

B. Appropriateness of Tolerance Band

47. After having decided on a target, it is important to deliberate on the tolerance band around the target, which is prevalent for many EMDEs, including India. This tolerance band is meant to incorporate flexibility into the monetary policy framework without deviating from the goal of price stability. However, to adequately capture the structural changes in the economy as well as to impart policy manoeuvrability in response to shocks, revisiting the tolerance band has been a widely observed phenomenon in framework reviews.

Literature and International Experience

48. A target set above the inflation trend could increase inflation and its volatility, undermining long-term plans of firms and households, impinging the credibility of the central bank, destabilising inflation expectations and raising risk premiums in asset markets (Bernanke, 2010). A tighter band improves the effectiveness of monetary policy, while a wider band undermines policy credibility. A point target with tolerance band is precise and gives a clear signal about the central bank’s objective. Symmetric band is also important in conveying the central bank’s intention of avoiding deflation as effectively as avoiding inflation (Hammond, 2012). A range target, on the other hand, can give the impression that the central bank has inadequate control over the inflation objective, and it can accommodate temporary price shocks. Cross-country evidence suggests that target ranges or target with bands are more successful in providing both flexibility and credibility to central banks, aiding in inflation anchoring (Ehrmann, 2021). In setting the tolerance band, threshold inflation24 could be the guide for the upper tolerance level, while the rate below which inflation could disincentivise production may help in setting the lower level (RBI, 2021).

49. Monetary policy in the AEs has largely operated with point target, with some refinement in operationalisation of the framework. In many EMDEs, food constitutes a sizable component of CPI, making them prone to supply shocks and hence a wider tolerance band exists to retain flexibility. Majority of large EMDEs have moved towards 3-4 per cent target with a band of 1-1.5 per cent, leveraging on their success with IT (Eichengreen and Gupta, 2024). Latest reviews of IT frameworks in several countries show that while the specification of the numerical targets has become stricter (points rather than ranges), the horizon for achieving the target has become fuzzy or longer to achieve other objectives, especially employment and output (Borio and Chavaz, 2025). In terms of classification, while most economies fall into the flexible IT category, the subtle differences across IT categories have much to do with variations in the maturity and stability of the frameworks and less with central bank independence and transparency (Dąbrowski, et al., 2025).

Indian Experience

50. India has continued with ±2 per cent band even as food inflation volatility has reduced; anchoring of inflation expectations has improved; and other emerging markets have gradually narrowed the tolerance band (Eichengreen and Gupta, 2024). As the band around the target is meant for accommodating shock-induced fluctuations in inflation in the short run, an examination of the frequency distribution of inflation could be useful. The distribution of inflation in six intervals from less than 2 per cent to more than 6 per cent reveals that headline inflation remained within the range of 2-6 per cent in three-fourth of the time in the first review period of IT (Table 5). In the second review period, the concentration decreased to almost two-third, as overlapping shocks (pandemic and Russia-Ukraine conflict) led to more frequent inflation breaches above 6 per cent. The concentration of inflation within 2-6 per cent is also corroborated by its distribution across commodities during the FIT period, barring episodes of COVID and Ukraine war (Chart 11).


Chart 11: Headline Inflation Distribution Across Items

51. The relationship between inflation and economic growth is inherently non-linear. Moderate inflation can facilitate growth by incentivising producers and ensuring adequate returns, the inflation required for ‘greasing the wheels of the economy’. Rising inflation beyond a threshold becomes detrimental, as heightened price volatility creates uncertainty, discouraging consumption and investment. Even after setting the optimal target level of inflation, the key challenge is to identify the threshold, beyond which inflation unambiguously hinders growth. This sets the upper tolerance level of a country’s inflation target. Revisiting the inflation threshold using alternative methodologies reveal it to be in the range of 4 – 6 per cent, beyond which the impact of inflation on growth turns negative (Table 6 and Annex 12). This lends support to the upper bound of the deviation from the target.

52. The support to the current tolerance band can be drawn further by evaluating the symmetry of the tolerance band. An analysis of the distribution of cyclical component of the headline inflation indicates that around 94 per cent of the time inflation deviation from its long-term trend falls within a range of ±2 per cent (Chart 12).

Chart 12: Distribution of Cyclical Component of Headline Inflation

53. The current tolerance band provides flexibility to account for shocks in food, energy and other volatile components along with any forecast and measurement errors. It provides flexibility in the conduct of monetary policy and allows for deviations from the target in the face of temporary shocks without frequent changes in the interest rate (Pattanaik and Pandey, 2020). It allowed the flexibility to manage growth-inflation trade-offs during the pandemic. Growth could be prioritised during the pandemic years even as inflation remained above the target. Das (2023) explains that when inflation became high and breached the upper tolerance level of 6 per cent following the conflict in Ukraine, inflation was swiftly re-prioritised over growth. Going forward, the likelihood of greater incidence of climate shock induced volatility in food inflation, and surge in volatility in crude oil and metals prices emerging from heightened global geopolitical and trade policy uncertainty may make inflation more volatile. In such circumstances, tolerance band around the target may need to remain wide in order to provide flexibility in adapting to the evolving dynamics and growth inflation trade-offs. Besides, a strong case for the current wider tolerance band relative to country experience comes from the very fact that India’s food share in the consumption basket remains the highest among the IT countries.

54. A counter argument in support of a narrower tolerance band, is that the volatility of the headline inflation has declined subsequent to the adoption of FIT in India. Volatility, measured using standard deviation, has reduced from 2.3 per cent in pre-FIT period to 1.5 per cent post adoption of the FIT framework in 2016. Cross country analysis of IT central banks reveals that majority have a narrower tolerance band of about 1-1.5 per cent (kindly see Annex 1).25 These indicate that just like the other countries, India may consider narrowing its band to about 1-1.5 per cent. Additionally, recent consumer expenditure survey suggests that the share of food and beverages in the upcoming new CPI series could be lower, further lowering the volatility of headline inflation.

C. Range Targeting

Literature and International experience

55. Targeting a range of inflation instead of a particular level with/without a tolerance band has been preferred by a few countries to induct additional flexibility into the framework. At present, range target is prevalent only for few countries like Australia, Israel, Thailand and South Africa. Evidence shows that economies that have range target have not necessarily performed better in terms of being within the range.26 Countries including Czech Republic (2006), New Zealand (2012) and South Korea (2016) have shifted from range targeting to point targeting with a tolerance band, reflecting improvement in credibility. New Zealand which has the longest history of IT adoption followed range targeting during first twelve years before giving it away in favour of point targeting (Chart 13).

Chart 13: Evolution of IT in New Zealand

Indian Experience

56. India’s experience shows that CPI headline inflation has remained within the lower band of 2-4 per cent for 11 quarters (including the latest one i.e., Q1 2025-26) out of the 35 quarters since the inception of FIT.27 It stayed within the upper tolerance band of 4-6 per cent for 14 quarters.28 During 2020-2022, it has crossed the 6 per cent threshold in 9 quarters overall (Chart 9 earlier). Thus, the quarterly distribution of inflation suggests continued volatility around the target of 4 per cent.

57. With an explicit point target, MPC members may differ in their chosen rate action because of differences in assessment of the economy. With range targeting, however, it may add an additional element of ambiguity with members having different perception of the target itself based on their individual economic assessments. Amidst uncertainty, transitioning from a point to a range targeting may be construed as compromising on the target, undermining policy credibility and diminishing fiscal policy discipline.29

58. In the Indian context, any shift to a range, say 4-6 per cent or 3-6 per cent may get interpreted as the mid-point being accepted as the central target even though MPC may work around the full range.30 It could also be construed as a dilution of the existing framework eroding policy credibility as it may be interpreted as weakening of the commitment to price stability by domestic economic agents and international investors. This could be inconsistent with the trend inflation31, which is estimated to be close to 4 per cent (Table 3 cited above).

59. Range targeting, on the other hand, can be supported based on the arguments that it provides greater flexibility than a point target. It provides flexibility for central banks to respond to economic shocks. It acknowledges the inherent uncertainty in inflation forecasting and can enhance credibility by signalling a commitment to price stability while allowing for some short-term deviations. Second, explicit ranges can reflect uncertainty about and imperfect control of inflation outcomes in the short run. Besides, a range could indicate the indifference of a central bank to inflation outcomes.32 Operational ranges can indicate to what extent a central bank intends to follow secondary objectives if an inflation trade-off arises. Third, with increased global uncertainties, often projections are given in ranges based on scenarios. With projections being in ranges, final target accordingly can also be a range, acknowledging the heightened uncertainty upfront, rather than going wrong later.

V. Summing up

60. The experience of FIT framework, introduced in the year 2016 and first reviewed in 2021 has broadly performed well. From the inception of FIT till about end of 2019, inflation was low and stable, averaging around 4 per cent. However, the incidence of repetitive shocks to food and fuel prices challenged the conduct of monetary policy, particularly during post-pandemic and the Russia-Ukraine conflict with inflation diverging away from target, like in many other economies. The Indian experience is unique as the share of food and energy is more than half of the consumption basket in India. Supply shocks to such items highlights the challenging efforts to stabilise inflation to a degree that is outsized relative to other nations that adopted IT and hence, has lessons as well (Mishkin and Kiley 2025). With price stability being a shared responsibility between the government and the central bank, effective monetary-fiscal coordination in the form of supply side interventions along with monetary tightening to prevent second round effects ensured the success of FIT, a template that can be emulated by countries vulnerable to inflationary pressures emanating from supply shocks. On the whole, the credibility and flexibility embedded in the framework has served us well amidst these difficult global times.

61. The conduct of monetary policy frameworks needs both policy certainty and credibility. This has become particularly important during the current environment of heightened uncertainty. It is, therefore, important that the basic tenets of the framework that have been tested and judged to be favourable are continued.33 The adaptability and flexibility already inbuilt into the extant framework should be leveraged to nudge the economy towards further improved macroeconomic outcomes.

VI. Questions for Discussion for Feedback

62. This Discussion Paper poses the following questions on inflation target for feedback:



Annex 2: MPC Resolution: Mapping Growth and Inflation Objectives

The objective of price stability is typically the primary objective of monetary policy under the flexible inflation targeting (FIT) framework but it is not designed to be achieved at an unacceptable cost in terms of foregone growth (sacrifice ratio). The theory underpinning the practice of contemporary monetary policy states that optimal policy involves an objective function which maximises social welfare by minimising the variability of inflation around an inflation target and the variability of output around its potential level. Today’s FIT frameworks across the globe embody these trade-offs. Under the current monetary policy framework, the relative emphasis given to growth and inflation over the period determines the decisions on the direction of key policy rate (repo).34 The Monetary Policy Committee (MPC) since its inception in October 2016 had to grapple with several formidable challenges namely, – demonetisation; shocks to inflation from food and crude oil prices; growth slowdown; recurrent external shocks followed by crisis caused by COVID-19 pandemic, and Russia-Ukraine conflict.

An analysis of the Monetary Policy Resolutions (published on the day of policy announcement) based on word-count of inflation and growth coverage/discussion in each resolution, supported by text-mining with results presented in a form of word cloud - reflects the relative importance of key words and phrases that dominated the policy resolution during the FIT period (Chart 1). Monetary policy is the art of balancing with a degree of judgement. The weight assigned to a particular objective - inflation or growth - depends on the assessment of risk that may impact the balanced growth path of the economy. Thus, the decisions taken by the MPC since 2016 are based on relative emphasis on inflation or growth.

Chart 1: Inflation and Growth focus since FIT period

A text mining analyses of MPC resolutions since 2016 reveal a reduction in size, with improvement in readability in the FIT period (Chart 2). During the period from October to December 2016, inflation occupied more than 60 per cent of the growth-inflation discussions. By February 2017, however, inflation assumed centre stage with the discussions on inflation accounting close to 70 per cent of the total growth-inflation deliberations. Thereafter, during June and October 2017, the relative emphasis on growth increased, whereas from December 2017, inflation discussions started getting higher emphasis. With the onset of COVID-19 pandemic, the inflation took the centre stage while framing the monetary policy. However, the aftermath of pandemic shifted the MPC assessment towards growth aligned with policy repo rate. Thus, changes in growth-inflation dynamics in MPS resolution reflects the repo rate movements. Text-Mining practices presented in Chart 3 (a & b) shows that for full FIT period, policy focus was on inflation, though growth remained the priority only for COVID period.

Chart 2: The Monetary Policy Committee Resolution

Chart 3a: October 2016 – June 2025 & Chart 3b: COVID Pandemic: March 2020 – April 2022

Annex 3: Estimation of Taylor Rule

The central bank’s monetary policy reaction function can be frequently summarized by a Taylor rule (Taylor, 1993). This serves as a suitable guidepost in assessing the policy rate adjustments made by the MPC in response to the deviation of inflation from its target and objectives related to output.

The weights assigned by the MPC to inflation forecast gap (deviation of three period ahead inflation forecast from the target), and output gap has been empirically estimated by using a Taylor rule specification with an interest rate smoothing parameter (RCF, 2021).35 The estimation has been carried out by considering the policy rate decisions in bimonthly meetings from October 2016 to June 2025. The estimation results suggest that the MPC have been cautious in its approach regarding dealing with shocks and have been very gradual in altering the policy rates as reflected by the estimated high interest smoothing parameter (lagged policy rate). Both the estimated implicit weights assigned to inflation forecast gap and output gap are found to be significant with higher importance given to inflation consistent with the mandate (Table 1). Eichergreen and Gupta, 2024 also find positive and significant coefficients on output gap and inflation in their estimation of policy reaction function when effective policy rate is included as a lagged variable. The estimated coefficient on lagged policy rates also indicated significant inertia. Separate estimation reveals that weight associated with realised inflation gap instead of inflation forecast gap is insignificant indicating the forward-looking nature of monetary policy.

Monetary policy has been accommodative during March 2020 to April 2022 owing to contributions from pandemic induced large negative output gaps and the flexibility embedded in FIT which allowed the MPC to look through the deviation of inflation forecast from its target. Since May 2022, with gradual strengthening of aggregate demand conditions, the MPC has adopted a prudent approach in raising policy rates consistent with the inflation objective. In recent periods, the MPC has been more focussed on providing support to aggregate demand conditions with inflation forecast durably aligning with the target (Chart 1).

 

Chart 1: Contribution of inflation forecast gap and output gap topolicy rate deviations (percentage points)

References:

  1. Eichengreen, B., & Gupta, P. (2024). Inflation Targeting in India: A Further Assessment. Margin: The Journal of Applied Economic Research, 18(1-2), 7-42. https://doi.org/10.1177/00252921241289522

  2. Patra, M.D., Behera, H. and John, J. (2021). Is the Phillips Curve in India Dead, Inert and Stirring to Life or Alive and Well?. RBI Bullettin, November, 63-75.

  3. RBI (2021), Report on Currency and Finance. 2020-21.

  4. Taylor, J. B. (1993). Discretion versus Policy Rules in Practice. In Carnegie-Rochester Conference Series on Public Policy, North-Holland, 39, 195-214.


Annex 4: Inflation and Growth Projection Analysis

The inflation forecast, which acts as the intermediate target for monetary policy under a FIT regime (King 1994; Svensson, 1997), embodies the consolidated information set available to the MPC at the time of its decision. As policy is guided by forecasts, the success of the FIT framework depends on the accuracy of inflation as well as growth forecasts. Since the FIT inception, a comparison of inflation forecasts vis-à-vis realised inflation suggests forecasts deviation on either side (Chart 1a). Similarly, there have been overestimation and underestimation of growth as well (Chart 1b). Forecast errors in India were the lowest in this cross-country comparison. Compared to the first review period, however, there has been an improvement in the forecasts possibly due to improvement in modelling (quarterly projection model - QPM 2.0)36, market intelligence and longer period data availability. In this regard, an evaluation of inflation forecasts in eight central banks shows a deterioration in forecasting performance during the pandemic period; the forecast errors were higher for longer horizons and for the advanced economies (RBI, 2023).

Chart 1: Inflation and Growth Forecasts vis-à-vis Actuals

A formal test of unbiasedness of the RBI’s forecasts performed by estimating two equations37 separately for inflation and GDP growth during the FIT period suggests that the forecasts are unbiased (Table 1). In other words, this corroborates the graphical presentation of forecasts vis-à-vis actuals that there is no systematic bias in forecasts. This, in turn, suggests that the use of the forecasts by the MPC does not result in any bias in policy making, ceteris paribus.

Reference:

RBI (2023). Inflation Forecast Accuracy Under High Volatility: Cross-Country Evidence. Box I.1 in the Monetary Policy Report, April.


Annex 5: Convergence and Spillovers: Core versus Non-Core

 

The results suggest that there exists a long-run equilibrium relationship between core and non-core prices. Further, the error correction term is significant and negative only in case of the non-core equation. It implies that non-core inflation converges to core inflation in long-run and the deviation from equilibrium gets corrected by around 3 quarters1 (Table 1). The large residual volatility of non-core inflation (compared to core inflation) indicates the transitory nature of the non-core inflationary shocks. In the short-run, however, a positive relationship from non-core inflation to core inflation is found to be statistically significant, even though its magnitude its low. This indicates that spillovers also do happen from non-core inflation to core inflation, if the supply shocks remain persistent, through increased costs as well as unanchored inflation expectations.

References:

Pesaran, M. H., Shin, Y., & Smith, R. J. (2001). Bounds testing approaches to the analysis of level relationships. Journal of applied econometrics, 16(3), 289-326.

RBI (2021). Chapter 1: Flexible Inflation Targeting in India, Report of Currency and Finance.

_____________________________________________________

1 The error correction coefficient indicates nearly 12% of disequilibria gets corrected in a month. This implies that for full correction it takes 8-9 months (3 quarters).


Annex 6: Headline and Core Inflation Convergence: Rolling Regression Estimates

Volatile price changes dissipate when headline converges to core; but those price changes could potentially lead to second-round effects when core converges to headline (Cecchetti and Moessner, 2008; Behera and Ranjan, 2024)38. Rolling regression estimates of convergence, following Cecchetti and Moessner (2008) and using monthly data from January 2011 to April 2025 with a rolling window size of 60 months, show that headline reverts to core inflation and the speed of convergence has increased since November 2023 (Chart 1 a). On the other hand, the speed of convergence from core to headline inflation, which went up on account of supply disruptions and other supply shocks during the pandemic and Ukraine war, has started falling since November 2023 (Chart 1 b).

Chart 1: Rolling Regression Convergence Coefficients

References:

Behera, H. and Ranjan, A. (2024). Food and Fuel Prices: Second Round Effects on Headline Inflation in India. RBI Bulletin, April.

Cecchetti, S.G. and Moessner, R. (2008). Commodity Prices and Inflation Dynamics. BIS Quarterly Review, December.




Annex 9: Trend Inflation Estimates for India

Various approaches have been used to estimate trend inflation. The first approach involves estimating time-varying trend inflation followed from Chan et al., (2013) where trend inflation is restricted to lie within bounds. The error variance follows a driftless random walk process. The trend inflation also follows a random walk. The model is given as:

 
Chart 1: Estimates of Trend Inflation based on Bound Model

Second approach uses the standard regime switching NKPC model with slight modification to incorporate time-varying impact of input costs by allowing the oil price pass-through rate to follow a regime-switching process (Behera and Patra, 2022). Specifically, the following model is estimated by using Bayesian method:

 
 
Chart 2: Regime-swithching Phillips Curve based Trend Inflation

In addition to these univariate measures, multivariate core trend (MCT) inflation is estimated by using the methodology proposed by Stock and Watson (2016). The model decomposes the CPI inflation into common trend, sector-specific trends, sector specific common shocks and transitory shocks to estimate the MCT trend as the sum of the common and the sector-specific trends weighted by the CPI Core weights. The estimated MCT trend inflation after reaching its peak at 7.3 per cent in April 2022 started easing steadily to around 3.5 per cent in recent months.

Chart 3: Headline, Core and Multivariate Core Trend Inflation

Lastly, policy makers also monitor movement of the long-run inflation expectation of the economic agents as it provides credibility of monetary policy. Monetary policy is thought to be most effective when long-term inflation expectation remains stable. Recent literature uses the long-run inflation forecasts of economic agents to estimate the underlying relation between and trend inflation and inflation expectations and determine the trend path (Chan, Clark and Koop, 2018). Following the same methodology, trend inflation path has been estimated using the data from September 2016 to March 2025. The long-term inflation expectation has been measured by 5-year ahead and 10-year ahead inflation expectation based on the bimonthly survey conducted by the Reserve Bank. Empirical results suggest that trend inflation increased during the COVID pandemic and geo-political conflict in the black-sea region and started to moderate thereafter.

Chart 4: Trend inflation using Long-run inflation expectation

References:

Behera, H. K., and Patra, M. D. (2022). Measuring trend inflation in India. Journal of Asian Economics, 80, 101474.

Cascaldi-Garcia, D., López-Salido, J.D. and Loria, F. (2022) Is Trend Inflation at Risk of Becoming Unanchored? The Role of Inflation Expectations, FEDS Notes. 2022-03-31. Board of Governors of the Federal Reserve System (U.S.).

Chan, J.C.C., Koop, G. and Potter, S.M. (2013) A New Model of Trend Inflation, Journal of Business & Economic Statistics, 31(1), 94-106

Chan, J.C.C., Clarh, T.E. and Koop, G. (2018), ‘A New Model of Inflation, Trend Inflation, and Long-Run Inflation Expectations’, Journal of Money, Credit and Banking, Vol. 50(1), pp. 5-53.

Garcia, J.A. and Poon, A. (2022) Inflation trends in Asia: implications for central banks, Oxford Economic Papers, 74(3), 671-700.

Österholm, P. and Poon, A. (2022) Trend Inflation in Sweden, International Journal of Finance & Economics.

Stock, J.H., Watson, M.W., (2016). Core inflation and trend inflation. The Review of Economics and Statistics 98 (4), 770-784.


Annex 10: The Balassa-Samuelson (BS) Effect: An Estimation for India

Productivity is the primary driving force for fostering growth in emerging market economies (EMEs). The Balassa-Samuelson hypothesis (1964) states that higher productivity growth in tradable sector relative to non-tradable sector leads to higher aggregate wage growth in the economy. Thus, BS hypothesis provides an explanation for higher inflation in EMEs compared to the advanced economies (AEs), as the former generally experience higher output and productivity growth as compared to the latter40. It has been argued that the real effective exchange rate should appreciate at the productivity differential between you and the rest of the world and a 4 per cent inflation target is consistent with 2 per cent average inflation in AEs and a 2 per cent productivity growth in India (Rajan 2014).41 Testing the following proposition theoretically, provides a plausible justification of India’s inflation target of 4% (+/- 2%) target

Theory: From the real exchange rate (R) equation,

R = E. (Pd/Pf),

where E = nominal exchange rate; Pd = domestic price level; Pf = foreign price level, it can be shown that

r = e + (pd – pf)….. (i),

where r, e, pd and pf are respective growth rates of R, E, Pd and Pf. If the productivity differential between India and rest of the world is 2%, then by a corollary of the Balassa Samuelson hypothesis42, the real exchange rate of India should appreciate by 2%. If we plug this value in (i) and given that pf = 2%, i.e,

2 = e + (pd – 2).

In this scenario, the only value of pd which would ensure that there is no change in the nominal exchange rate (i.e., e = 0) is 4.

Therefore, a domestic inflation rate of 4 per cent is consistent with the Balassa-Samuelson proposition (and assumptions on productivity differential) while ensuring the stability of the nominal exchange rate.

This argument is implicitly premised on the proposition that the purchasing power parity (PPP) theorem holds, because only then can the real exchange rate be expressed as in (i).

This hypothesis has been tested empirically using panel data from countries while country-specific studies are relatively scarce (Ishaq et al, 2023; Ghosh et al, 2023). The average total factor productivity (TFP) growth for the inflation targeting EMEs, barring a few period of shocks, remained above that of Advanced Economies (AEs)43. India has witnessed consistently higher inflation over the years as compared with AEs, with inflation differential narrowing substantially after the implementation of flexible inflation targeting (FIT) in 2016. For India, the average TFP growth differential against AEs during 1995-2024 stood substantially higher at 1.83 percentage points. Post-adoption of flexible inflation targeting, TFP growth differential with the AEs increased further (Table 1). Therefore, TFP growth differential with the AEs remained in close approximation with the average inflation differential of around 2 percentage points, which in general is difference in inflation target of AEs and EMEs.

The sector-wise labour productivity of the traded sector stood higher than that of the non-traded sector for both AEs and EMEs (including India) (Chart 1).

The sector-wise labour productivity of the traded sector stood higher than that of the non-traded sector for both AEs and EMEs (including India) (Chart 1).

Chart 1: Traded and Non-traded Sector Productivity Growth

The relative differential in sectoral productivity is marginally higher for the EMEs, thus supporting the underlying assertion of the Balassa-Samuelson effect that productivity gains tend to be concentrated in the traded sector. A positive relationship has been observed between productivity differentials (with the AEs) and inflation differentials for the group of 17 EMEs (ITs) considered in this study (Chart 2).

Chart 2: Productivity Differential vis-à-vis Inflation Differential between AEs and EMDEs (2000-2024)

The Balassa-Samuelson Framework

In the standard Balassa-Samuelson framework, where labour is assumed to be perfectly mobile between sectors within a country, but not across countries, the following relationship is obtained:

Equation (2) suggests that, to maintain a stable nominal exchange rate (i.e., Δet = 0), inflation differential between a country and its trading partners should be difference of its productivity growth from its trading partners times the share of non-traded activities in the country’s consumption basket. The product of productivity differential and the share of non-traded sector in consumption basket is known as the Balassa-Samuelson effect.

The Balassa-Samuelson effect for India, can be approximated to 1.91*0.85 = 1.62 percentage points44 (Eq. 2). These estimates indicate that, given India’s higher aggregate productivity growth compared to the AEs by about 2 percentage points. Thus, India’s inflation differential from AEs at roughly 2 percentage points can be consistent under a stable nominal exchange rate. Since most AEs have maintained an average inflation of around 2 per cent over the last two decades, this suggests that India’s inflation rate at around 4 per cent under the FIT regime is consistent under a stable nominal exchange rate framework.

Empirical Estimation

Using balanced panel data of 7 EMEs (ITs), the magnitude of the BS is tested. The differences of CPI inflation and two measures of productivity growth - TFP growth and labour productivity (LP) growth for each country from the average levels of advanced economies are obtained at annual frequency between 2000-2024. The long-run specification is estimated using Pooled Mean Group (PMG) approach following Pesaran (1999):

(The variables π and α represent year-on-year CPI inflation rate and the productivity growth for country i in year t, whereas bar over them indicates respective averages for AEs in year t. The variable neer represents the broad 46 country nominal effective exchange rate for the sample countries from BIS, while X consists of the additional macroeconomic control variables.)

The estimated long-run coefficients of inflation differential on both TFP and LP growth differentials are positive and statistically significant (Table 2). The short-run error-correction terms are negative and statistically significant, suggesting that long-run relationships hold between inflation differential and the explanatory variables.

The estimated coefficients for TFP growth differential are 0.72 and 0.83, while the coefficients for LP growth differential are 0.35 and 0.39. Thus, the observed TFP/LP growth differentials for India are in the range 1.7 - 2.2 percentage points (2011-2024). Therefore, the empirical estimates support the earlier argument that given India’s productivity growth differentials from the AEs, an annual inflation rate about 2 percentage points higher than the average of AEs may be broadly consistent with a stable nominal exchange rate for India.

References

Balassa, B. (1964). The purchasing-power parity doctrine: a reappraisal. Journal of Political Economy, 72(6), 584-596.

Ghosh, S., Nath, S., & Srivastava, S. (2023). Productivity and real exchange rates for India: does Balassa-Samuelson effect explain? Indian Growth and Development Review, 16(1), 41-73.

Mihaljek, D., & Klau, M. (2004). The Balassa–Samuelson effect in central Europe: a disaggregated analysis. Comparative economic studies, 46, 63-94.

Samuelson, Paul A., (1964). Theoretical Notes on Trade Problems, Review of Economics and Statistics, Vol. 46, pp. 145-54.


Annex 11: Inflation Persistence and Volatility

RBI (2021) found that the inflation persistence in India has declined from the pre-FIT period (2012-2016) to the period just-before the COVID-19 shock in 2020 (2016-2020), contributing to the moderation in trend inflation and better anchoring of inflation expectations. This Box examines whether inflation expectations remain anchored during the FIT period beyond 2020 in India using an approach by Stock and Watson (2007).

Stock and Watson (SW) model has two components – trend and the cycle. The trend component is highly persistent, whereas shocks to the non-trend component are temporary. SW method allows to estimate the time varying persistence (an indication of anchoring of inflation expectations); as well as the stochastic volatilities in inflation (role of supply-side shocks) and well as its trend (a sign of supply shocks leading to de-anchoring of inflation expectations). The model specification is the following:

The time varying parameters and stochastic volatilities are estimated using monthly data on year-on-year inflation from January 2011 to January 2025.

Chart 1: Time-varying Inflation Persistence and Volatility

The key findings from this analysis suggest that inflation persistence as well as the volatility in the trend component of inflation appears to have increased significantly during the first wave of COVID-19 pandemic in 2020 as well as during the initial months of Ukraine war in 2022, indicating that these shocks had led to some de-anchoring of inflation expectations (Chart 1). However, inflation persistence as well as the volatility in trend inflation has seen declining tendency since the first quarter of 2022-23 coinciding with the monetary policy normalising cycle. Since 2020, inflation has seen bouts of volatility induced by commodity price shocks, mainly emanating from vegetables. However, these has not led to any significant shift in inflation persistence and volatility in trend inflation. That is, unexpected changes in inflation are much more likely to be transitory, indicating a better anchoring of inflation expectations under the FIT period. At the same time, the variability of trend inflation, though lower from before, remains positive, suggesting that long-run inflation expectations are still not perfectly anchored.

References:

Geweke, J. (1992). Evaluating the accuracy of sampling-based approaches to the calculations of posterior moments. Bayesian statistics, 4, 641-649.

Nakajima, J. (2011). Time-Varying Parameter VAR Model with Stochastic Volatility: An Overview of Methodology and Empirical Applications. Monetary and Economic Studies, 29.

RBI (2021). Chapter 2: The Goals of Monetary Policy, Report of Currency and Finance.

Stock, J. H., & Watson, M. W. (2007). Why has US inflation become harder to forecast?. Journal of Money, Credit and banking, 39, 3-33.


Annex 12: Estimates of Threshold Inflation for India

A range of methodologies are being used to assess threshold inflation for India.

1. Splining

To estimate threshold inflation, the splining methodology involves using a series of regression equations to identify the inflation threshold by maximizing the R-squared value or minimizing the Root Mean Square Error (RMSE) (Sarel, 1996).

Following Khan and Senhadji (2001), the following equation is estimated:

Quarterly data from Q1:2001-02 to Q2:2024-25 is used to estimate the above model. The model tests multiple inflation thresholds (3-8 per cent) to determine the point at which inflation starts impacting GDP growth negatively. Different dummy variables are also used to incorporate outlier effects. The results of the regression analysis show that the Adjusted R squared is highest at 0.85 when inflation is 6 per cent (Table 1 and Chart).


Chart 1: Adjusted R2 for different threshold inflation levels

2. Panel Regression

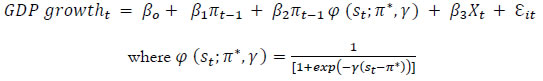
The significant variation in inflation and growth patterns across Indian states has been the motivation to estimate the threshold inflation by using the sub-national level data (Mohaddes and Raissi, 2014). Within a panel framework, this study estimates the threshold inflation by analysing annual Gross State Domestic Product (GSDP) growth and Consumer Price Index (CPI) inflation across major Indian states for the period 2014-15 to 2023-24. The estimation is based on the following equation:

where πit is the inflation of state i and time t, π* is the threshold inflation, and Xit are two control variables – State fiscal deficit to State GDP ratio and weighted average call money rate. State and time dummies are included to account for unobserved state-specific factors and time-specific effects, respectively. Data from 23 states across 9 years is used for the panel regression.

Following Sarel (1996), an interaction term is introduced in the growth equation to account for excess inflation, where a dummy variable(Dit) takes the value 1 when inflation exceeds the threshold level and 0 otherwise. When inflation remains below the threshold, it is expected to have a positive effect on growth (β1 > 0), whereas inflation above the threshold is anticipated to have an adverse impact (β2 < 0).

The equation is estimated across multiple threshold values, and the optimal threshold is determined based on the model that yields statistically significant coefficients with appropriate signs, along with the highest R2 value. This analysis identifies the threshold inflation rate at approximately 4 per cent (Table 2).

3. Panel threshold regression

This approach employs a panel threshold regression (PTR) to estimate the inflation threshold by using state-level data from 2014-15 to 2023-24. The model allows for structural breaks in the inflation-growth relationship and helps to identify the point at which inflation begins to exert a negative effect on growth. By incorporating state and time fixed effects, we control for unobserved heterogeneity and common macroeconomic shocks. The regression allows for different relationships in different regimes, depending on whether a threshold variable is above or below a certain threshold value. The estimation is based on the following equation:

Xit are the explanatory variables – State fiscal deficit to State GDP ratio and weighted average call rate, and inflation. β1 and β2 are the coefficients of the respective regimes.

The best fit of model (sum of residual squares is minimum) is identified when the threshold is 4 per cent (Table 3). Thus, this analysis also identifies the threshold inflation at 4 per cent.

4. Logistic Smooth Transition Regression

Logistic Smooth Transition Regression (LSTR) is a type of non-linear regression model used to capture relationships between variables that change smoothly across different regimes or states, rather than abruptly. It’s particularly useful when the impact of an independent variable on the dependent variable varies depending on the level of another variable, known as the transition variable.

The transition between regimes is governed by a logistic function, which ensures smoothness. The logistic function typically takes the form:

st is the transition variable which is assumed to be lagged inflation which governs the regime switching, π* is an unknown threshold parameter and γ represents the slope parameter (γ > 0). The transition function φ (st; π*, γ) is a continuous function and depends on π*. It is normalised to be bounded between 0 and 1, and these extreme values are associated with regression coefficients β1 and (β1 + β2).

Quarterly inflation and GDP growth data from Q1:2001-02 to Q2:2024-25 is used to estimate the above non-linear model. The logistic regression results imply that there exists a nonlinear relationship between inflation and growth as the null hypothesis of linearity is rejected at 1 per cent significance level (Table 2). The nonlinearity in the growth-inflation relationship is also confirmed by the statistical significance of the slope parameter. The estimated threshold value of inflation from this regression works out to 5.85 per cent (Table 4).

5. Smooth Curve Fitting

A crude method of observing the effect of inflation on GDP growth is by fitting a non-linear curve to the scatterplot of GDP growth and lagged inflation by using LOESS (Locally Estimated Scatterplot Smoothing) methodology. LOESS is a non-parametric regression technique used to fit a smooth curve to data. Instead of fitting a single global function to the entire dataset, LOESS fits local regressions to small subsets of the data.

Quarterly inflation and GDP growth data from Q1:2001-02 to Q2:2024-25 is used to fit the smooth LOESS curve. The non-linear relationship between inflation and GDP growth across different inflation levels reveals an inverted U-shaped pattern. GDP growth initially increases with rising inflation and reaches its peak at around 6.2 per cent, suggesting this as the potential threshold inflation beyond which the positive impact on growth diminishes (Chart 2).

Chart 2: Relationship Between Inflation and GDP Growth with LOESS Smoothing

6. Threshold VAR

Threshold inflation is also computed after controlling for potential endogeneity of the variables in the regress by using threshold vector autoregression (TVAR) method. In TVAR, threshold inflation is computed from the estimated nonlinear impulse responses which are derived as conditional forecasts at each period. Hence, it is possible to study time variance in responses to shocks not only across regimes, but also within regimes. Moreover, it is possible to test whether nonlinearities are statistically significant. The specification of TVAR is defined below.

7. Time Varying Threshold VAR

We define TVP-VAR with Threshold, where coefficients vary over time and switch based on a threshold mechanism. Headline inflation is the threshold variable. The estimate is considered for last 20 quarters (5 years) for estimation on rolling basis. The regime dependent Coefficients are defined as:


Estimated Time-Varying Inflation Threshold (Rolling-Window TVAR)

Empirical estimates of threshold inflation for India vary between 4 and 7 per cent, depending on the sample period and estimation methodology (Vasudevan et al., 1998; Rangarajan, 2020; RBI, 2021; Dholakia et al., 2021). Using alternative methodologies, our updated estimates place the threshold inflation within the range of 4 – 6 per cent. Inflation beyond 6 per cent unambiguously dampens growth as higher inflation beyond this threshold increases investment and economic uncertainty, raises costs, and reduce purchasing power. Therefore, keeping inflation below this threshold is essential to sustain macroeconomic stability and ensure the credibility of India’s inflation-targeting framework.

References:

Dholakia, R. H., Chander, J., Padhi, I. and Pratap, B. (2021), “Threshold Level of Inflation – Concept and Measurement”, DRG Study No. 45, Reserve Bank of India.

Khan, M. S., and Senhadji, A. S. (2001), “Threshold Effects in the Relationship Between Inflation and Growth”, IMF Staff Papers, Vol. 48(1), 1-21.

Mohaddes, M. K., and Raissi, M. M. (2014), “Does Inflation Slow Long-Run Growth in India? (No. 14-222)”, International Monetary Fund.

Rangarajan, C. (2020), “The New Monetary Policy Framework-What it Means”. Journal of Quantitative Economics, Vol. 18, No.2, May 2020, pp. 457-470.

Sarel, M. (1996), “Nonlinear effects of inflation on economic growth”. IMF Staff Papers, Vol. 43(1), 199-215.

Vasudevan, A., Bhoi, B. K., & Dhal, S. C. (1998), “Inflation Rate and Optimal Growth: Is there a Gateway to Nirvana”, Fifty Years of Developmental Economics: Essays in Honour of Prof. Brahmananda, 50-67.


References

Akerlof, G. A., Dickens, W. T. and Perry, G. L. (1996). The Macroeconomics of Low Inflation. Brookings Papers on Economic Activity, 1:1996.

Ambrocio, G., Ferrero, A., Jokivuolle, E., & Ristolainen, K. (2021). What Academics Think of Central Banks’ Current Inflation Targets and Other Objectives. VoxEU Column, March 6th.

Anand R., Prasad E.S and Zhang B. (2012). What Measure of Inflation Should a Developing Country Central Bank Target?. IMF Working Paper WP/15/205.

Anant, T. C. A. (2023). It might be time for India to reconsider its indicator for inflation targeting. The Mint, November 15.

Ball, L. (2014). The Case for 4% Inflation, IMF Working Paper WP/14/92.

Behera, H. K., and Patra, M. D. (2022). Measuring Trend Inflation in India. Journal of Asian Economics.

Benigno P., Canofari, P., Dibartolomeo, G. and Messori, M. (2021). The Implementation and Rationale of the ECB's New Inflation Target. Monetary Dialogue Papers, European Parliament, November.

Bernanke, B. S. (2010). Monetary Policy and the Housing Bubble. Speech at the Annual Meeting of the American Economic Association, Atlanta, Georgia on January 3.

Bernanke, B. S. (2011). The effects of the great recession on central bank doctrine and practice. Remarks at the 56th Economic Conference of the FederalReserve Bank of Boston.

Blanchard, O., Dell’Ariccia, G. and Mauro, P. (2010). Rethinking Macroeconomic Policy. IMF Staff Position Note No. 10/03, February.

Borio, C. and Chavaz, M. (2025). Moving targets? Inflation targeting frameworks, 1990–2025. BIS Quarterly Review, March.

Chung, H., Doyle, Brian M., Hebden, J. and Siemer, M. (2020). Considerations Regarding Inflation Ranges. Finance and Economics Discussion Series 2020-075, Federal Reserve Board, Washington, D.C.

Ciżkowicz-Pękała, M., Grostal, W., Niedźwiedzińska, J., Skrzeszewska-Paczek, E., Stawasz-Grabowska, E., Wesołowski, G., and Żuk, P. (2019). Three decades of inflation targeting. NBP Working Paper No. 299.

Coibion, O., Gorodnichenko, Y., & Wieland, J. (2012). The optimal inflation rate in New Keynesian models: should central banks raise their inflation targets in light of the zero lower bound?. Review of Economic Studies, 79(4), 1371-1406.

Dąbrowski, M. A., Janus, J. and Mucha, K. (2025). Shades of inflation targeting: insights from fractional integration. MPRA Paper 123455, University Library of Munich, Germany, January.

Das, S. (2020). Seven Ages of India’s Monetary Policy. Address at the St. Stephen's College, University of Delhi on January 24.

Das, S. (2023). Central Banking in Uncertain Times: the Indian Experience, Opening Plenary Address delivered at the Summer Meetings organised by Central Banking, London, UK, June 13

Das, S (2024a). Balancing Inflation and Growth: The Cardinal Principle of Monetary Policy. Address at “High-Level Policy Conference of Central Banks from the Global South Building Synergies”, Mumbai. November.

Das, S. (2024b). RBI Chief pushes back on calls to cut food from inflation target. At the Peterson Institute for International Economics forum in Washington on October 26.

Das, S (2024c). Governor Statement. August 08.

Dholakia, R. H., Chander, J., Padhi, I. and Pratap, B. (2021), “Threshold Level of Inflation – Concept and Measurement”, DRG Study No. 45, Reserve Bank of India.

Ehrmann, M. (2021). Point targets, tolerance bands, or target ranges? Inflation target types and the anchoring of inflation expectations. ECB Working Paper Series No 2562 / May 2021

Eichengreen, B. and Gupta, P. (2024). Inflation Targeting in India: A Further Assessment. NCAER Working Paper, January.

Federal Reserve. 2020. “2020 Statement on Longer-Run Goals and Monetary Policy Strategy.” August 27.

GoI (2024). Economic Survey 2023-24.

Goyal, A. (2022). Flexible Inflation Targeting: Concepts and Application in India. Indian Public Policy Review, 3(5): 01-21. https://doi.org/10.55763/ippr.2022.03.05.001

IMF (2025). Article IV consultation Staff Report, February.

John. J., Kumar, D., George, A. T., Mitra, P., Kapur, M. and Patra, M. D. (2023). A Recalibrated Quarterly Projection Model (QPM 2.0) for India. RBI Bulletin, February.

Hammond, G. (2012). State of the art inflation targeting. Centre for Central Banking Studies, Bank of England.

Lahiri. A. (2024). Inflation debate: Current target holds merit, but 4% midpoint needs teeth. Business Standard, October.

Malhotra, S. (2025). Governor’s Statement, February 7.

Mathur A and R.Sengupta (2020). Analysing monetary policy statements of the Reserve Bank of India, IGIDR Working Paper.

Mineyama, T., Hirata, W., Nishizaki, K. (2019). Costs and Benefits of Inflation: A Model Analysis of Japan and the US. Bank of Japan Research Laboratory Series 19-E-2, https://www.boj.or.jp/en/research/wps_rev/lab/lab19e02.htm

Mishkin, F. S. (2007). Headline versus Core Inflation in the Conduct of Monetary Policy. International Transmission and Macroeconomic Policies Conference, HEC Montreal, Montreal, Canada, October 20.

Mishkin, F. S. (2008). Does Stabilizing Inflation Contribute to Stabilizing Economic Activity? At East Carolina University's Beta Gamma Sigma Distinguished Lecture Series, Greenville, North Carolina, February 25.

Mishkin F.S. and Kiley M. (2025). The evolution of Inflation Targeting from the 1990s to the 2020s -Development and Challenges. NBER Working Paper series 33585.

Patra, M.D., John, J. and George, A. T. (2024). Are Food Prices the ‘True’ Core of India’s Inflation? RBI Bulletin, January.

Pattanaik. I. and Pandey, R. (2020). Moving to Inflation Targeting, NIPFP Working Paper Series No. 316.

Rajan, R. (2024). Raghuram Rajan advices RBI to consider PPI for fixing benchmark interest rates, resists excluding food inflation. The Mint, October 2. https://www.livemint.com/economy/raghuram-rajan-against-excluding-food-inflation-whole-setting-benchmark-interest-rates-suggests-rbi-to-consider-ppi-ind-11727870302983.html

Rangarajan, C. (2021). Evolving Contours of Monetary Policy. Economic and Political Weekly, Vol LVI No 20, May 15.

RBI (2014). Report of the Expert Committee to Revise and Strengthen the Monetary Policy Framework (Chairman: Urjit R. Patel), January.

RBI (2021). Report on Currency and Finance 2020-21.

RBI (2025a). Annual Report 2024-25.

Schmitt-Grohé, S., & Uribe, M. (2010). The optimal rate of inflation. In Handbook of monetary economics (Vol. 3, pp. 653-722). Elsevier.

Sharma, M. (2024). India should remove food inflation from its inflation target. The Economic Times, June 4.

Svensson, Lars E.O. (1997). Inflation Forecast Targeting: Implementing and Monitoring Inflation Targets. European Economic Review 41(6), 1111—1146.

Taylor, John, B. (1993). Discretion versus policy rules in practice. Journal of Monetary Economics, Vol 39, December 1993, pages 195-214.

Virmani, A. (2024). Core inflation with non-volatile food must guide RBI. The Financial Express. December 6. https://www.financialexpress.com/policy/economy-core-inflation-with-non-volatile-food-must-guide-rbi-arvind-virmani-3685308/

Woodford, M. (2003). Interest and Prices: Foundations of a Theory of Monetary Policy. Princeton: Princeton Univers


1 The analysis in this paper includes 45 countries as specified in IMF AREAER and the US, EU and Switzerland.

2 In a rule-based policy regime such as inflation targeting, the monetary authority conducts its policy based on a predefined objective whereas in a discretionary set up, the policy maker could define its objectives and priorities in line with the evolving economic scenario.

3 Das, S. (2020). Seven Ages of India’s Monetary Policy. Address at the St. Stephen's College, University of Delhi on January 24.

4 The Committee was headed by the then Deputy Governor, Dr. Urjit R. Patel and comprised of two internal members – Deepak Mohanty and Michael Debabrata Patra - and six external members – P. J. Nayak, Chetan Ghate, Peter J. Montiel, Sajjid Chinoy, Rupa Nitsure, and Gangadhar Darbha.

5 The views in this Report were entirely those of the contributors from the Economic, Statistics and Monetary Policy departments of the Reserve Bank and were not the official view of the RBI.

6 Among the practicing IT central banks, while majority have a collegial decision-making body, their composition and decision-making process vary. Even among countries where decisions are based on voting, extent of disclosure of information on votes and voting pattern varies (Ciżkowicz-Pękała et al., 2019).

7 The Taylor Rule guides central banks in setting interest rates by evaluation the deviation of inflation from its target and output relative to its potential.

8 The MPR, on a half yearly basis, provides a detailed analysis of inflation dynamics; inflation and growth projections over six-eighteen months horizon with balance of risks; an assessment of projections performance; updates of the state of economy having a bearing on policy decisions; and operating procedures of monetary policy.

9 Core inflation is also characterized as sticky price inflation in the literature.

10 Uganda targets core inflation that excludes 17.6 per cent of the volatile components from the overall CPI basket because excluded items experience greater supply side shocks and are less influenced by monetary policy.

11 Thailand moved from targeting core inflation to headline in 2015 in light of volatility in energy and food prices

12 As the divergence between CPI and WPI can pose challenges for monetary policy, a modified target measure covering both CPI and WPI, i.e., PPI may be considered (Anant, 2023; Rajan 2024).

13 The survey was conducted by the National Statistical Office (NSO), Ministry of Statistics and Programme Implementation (MoSPI), GoI.

14 The revised CPI series is expected by February 2026, https://www.pib.gov.in/PressReleasePage.aspx?PRID=2087710.

15 Why has the inflation target been set at 2%, rather than at 0%? https://www.bde.es/wbe/en/areas-actuacion/politica-monetaria/politica-monetaria-area-euro/bce-estrategia-politica-monetaria/por-que-2-en-lugar-del-0.html

16 The Balassa-Samuelson effect would suggest higher inflation in emerging markets vis-à-vis Advanced economies.

17 Among the total IT countries, 85 per cent have a point target with or without a tolerance band, 54 per cent have a tolerance band, of which 54 per cent have a tolerance band of +/- 1 per cent around the central target.

18 Bank of Russia, Monetary Policy Review, Consultation Paper, May 2023.

19 Countries have, however, gained flexibility through expanded mandates and sometimes longer time horizons (Borio, 2025).

20 Benigno P., Canofari, P., Dibartolomeo, G. and Messori, M. (2021). The Implementation and Rationale of the ECB's New Inflation Target. Monetary Dialogue Papers, European Parliament, November.

21 Brazil has lowered its inflation target mid-point every year since 2019 by 0.25 bps cumulatively lowering by 1.5 per cent in the last six years. Indonesia has lowered its inflation target mid-point intermittently since 2016, 4 times, at a pace of 50 bps, cumulatively lowering by 1.5 per cent in the last eight years. Thailand lowered its 2.5 per cent point target with a tolerance band of +/-1.5 per cent to a range target of 1-3 per cent in 2020.

22 As per RBI Act, the performance and failure under FIT is assessed in terms of quarterly average inflation.

23 Dholakia et al. (2021) observed that bringing inflation down below 6 per cent towards 4 per cent may lead to an 80 basis points decline in long term growth rates.

24 Threshold inflation is the rate above which growth is adversely impacted by high inflation.

25 Turkey, Sri Lanka, Mongolia, Ghana, Kenya and Paraguay have tolerance band higher than 1.5 per cent.

26 Bank of Israel, Revisiting the Inflation Target, November 2024.

27 If India had adopted a range targeting of 4-6 per cent instead of 4 +/- 2 per cent in 2016, the FIT period would have seen failure on three occasions rather than one occasion so far. The additional two occasions would have been for undershooting the target range.

28 For one quarter, during the first wave of COVID pandemic, data is not available.

29 Bank of Russia, Monetary Policy Review, Consultation Paper, May 2023.

30 Mid-points generally tend to assume importance in range targeting. For example, the South African Reserve Bank (Sarb) recently had to deny reports of a change in its official inflation target. While their committee decided to aim for 3 per cent, which is the bottom of the inflation target range of 3-6 per cent, it had to make a separate statement on their inflation targeting framework to clarify.

31 A target set above the trend level renders monetary policy expansionary producing inflationary shock, while a target much below the trend could produce a deflationary bias (Behera and Patra, 2022).

32 Chung et al (2020). Considerations Regarding Inflation Ranges, Federal Reserve Board.

33 IMF, Article IV Consultations, Staff Report, Issue 54, Volume 2025.

34 While FIT recognises the existence of the growth-inflation trade-off in the short run, it is designed around the critical importance of price stability for sustainable growth in the medium run.

35 Separate estimations are carried out for one-period and two-period ahead inflation forecasts. Estimated weights associated with the corresponding inflation forecast gaps are found to be lower compared with three-period ahead inflation forecast estimated weights; and further the inflation forecast weights are insignificant at 1 per cent level of significance for these two periods.

36 The recalibrated quarterly projection model (QPM 2.0) augments QPM 1.0 with fiscal-monetary policy interaction, a more nuanced modelling of domestic fuel pricing dynamics, capital flows, exchange rate dynamics and central bank’s forex market interventions for a more informed judgement (John et al., (2023).


39 Harmonised index of consumer prices.

40 Higher productivity in the tradable goods sector pushes up wages in the sector. Producers of non-tradables including services will be able to pay the higher wages only if the relative price of non-tradable sector also rises. Since wages rise across the economy, including in non-tradable sectors where productivity growth is lower, non-tradable goods and services experience inflation. This leads to higher overall inflation in the economy compared to its trading partners.

41 Raghuram Rajan – Government, RBI on the Same Side, Mint, December 3, 2014.

42 See (i) Balassa, B. (1964), ';The Purchasing Power Parity Doctrine: A Reappraisal';, Journal of Political Economy, 72 (6): 584–596 and (ii) Samuelson, P. A. (1964), ';Theoretical Notes on Trade Problems';, Review of Economics and Statistics, 46 (2): 145–154.

43 During 2000-2024 average total factor productivity (TFP) growth for the inflation targeting EMEs, barring a few shocks period, remained above that of the AEs, the average difference over the period being 30 basis points.

44 Following the survey of literature in Mihaljek and Klau (2004), the study uses the share of manufacturing sector in GDP to proxy for the share of ‘traded’ sector in consumption. The share of manufacturing sector in India’s GDP stood at around 14.7 per cent between 2011-2024 (excluding COVID-19). Therefore, the share of non-traded activities in India’s GDP can be held at about 85 per cent (or (1 - αt) = 0.85).

RbiTtsCommonUtility

PLAYING
LISTEN

Related Assets

RBI-Install-RBI-Content-Global

RbiSocialMediaUtility

Install the RBI mobile application and get quick access to the latest news!

Scan the QR code to install our app

RbiWasItHelpfulUtility

Page Last Updated on:

Was this page helpful?